In this article, I apply my extreme gradient boosted REBEL Over/Under point total model to the NFL. If you haven’t read my first article on REBEL, you can find it at this link–it will provide the necessary background info that sets up this article.
REBEL: Regression (Based) Extreme (Gradient) Boosted Efficiency Learning
Applying the Model to the NFL
After seeing the high success rate that REBEL output on the NCAAF, I decided it might translate well when adapted to the NFL. Fortunately, in order to do this, not many changes were needed. I was able to train the model using the same metrics that I used for REBEL on CFB: yards, touchdowns, penalty yards, return yards, kick yards, turnovers, takeaways, sacks, EPA, rushes, passes, and field goals made (for both teams). Some key differences are:
- REBEL NFL used a larger training set: each game from 2006 to 2019
- REBEL NFL calculates rolling metrics at a wider range (10 games instead of 5) to account for less variance
- REBEL NFL predicts the exact score of each game (rather than predicting the % chance of the over hitting)
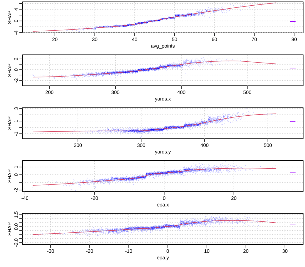
It’s key to identify which metrics affect the model the most. In the plot below, we can see which stats were most useful for the model–each blue point shows a data value for a single feature and how widely it affected the model prediction (SHAP value on the y-axis). What we see is incredibly encouraging–Average points scored, average home and away team yards, and average home and away team EPA are the top-weighted stats that REBEL uses. This makes perfect sense, as they all directly relate to points being scored.

Model Accuracy
Now, let’s take a look at how accurate our model is. REBEL proved to be slightly less successful on the NFL, but not enough for us to shy away from its picks. It correctly predicted 56% of its 520 bets, outperforming the market by 3.6%! To break it down further, it hit 67.6% of its 34 over bets correctly, and 55.1% of its 496 under bets correctly (it really likes taking the under). To account for possible variation in my results, I constructed a 95% confidence interval to gauge the accuracy level of my model. This allows me to claim that I am 95% confident that my model is between 51.7% and 60.2% accurate. The small interval was great news too, as it shows the model will almost always perform favorably. The below graphic shows how REBEL performed for the differences between its over/under predictions and the Vegas odds.

One thing that might seem concerning at first look is the high percentage of under bets that REBEL is making–only 34 over bets in the past 2 years is a bit odd. Yet when we map the density plot for REBEL’s predictions against Vegas’, we see that REBEL is accurately able to make predictions relative to Vegas’ distribution. It does slightly over-account for this, which could be due to possible model overfitting, but this isn’t something to worry about at the moment.

Earnings
You might be thinking to yourself, so what REBEL translates well to the NFL? How much money is this model making me?! The chart below tracks the bets we would have been making using REBEL for the past two years. To track our betting, I gave us $1,000 to start (assuming I have deep pockets and can bet more than I have to make each pick), took every bet REBEL produced, and bet $100 on each game (I set the odds at -110 for every game since the data didn’t provide them). The results are promising. We ended with over $4,500 after two years–REBEL was a bit more successful throughout 2020, as we can see the growth slows in 2021 at around 250 bets.

Team-Based Performance
Below we can see how REBEL performed on each NFL team–It ended up beating the market with 21 out of 32 teams!

2022 Week 1 REBEL Predictions
Now, the moment we’ve all been waiting for. Our 2022 week 1 REBEL predictions. Our model LOVES the under for almost every game in week 1. Let’s hope for a low-scoring week! The graph shows the adjusted difference between REBEL’s predictions and the market over/under number. If the difference is positive, we will take the over, if it is negative we will take the under.

Another way to view REBEL’s predictions is shown below. Here, you can see the over/under line from Draft Kings, REBEL’s xTotal points scored, and the difference between the two (before adjustment).

