Expected yards–a way to judge how teams and players are over or under-performing expectations on a play-by-play basis. In this article, I will be going over the model I wrote to calculate expected yards, and how it applies to NFL team performance.
I created this model using xgBoost, a decision-tree-based machine learning method. To calculate expected yards for each play, there are a number of stats we need to input into our model to get an accurate and well-rounded prediction. These stats include (but are not limited to) weather and field conditions, field position, game situation, line-up formation, and much more. In order to not punish better teams for ‘being good’, I did not include historical (situational) team data, as that would regress everything to the mean, as teams would likely perform average relative to their historical trends.
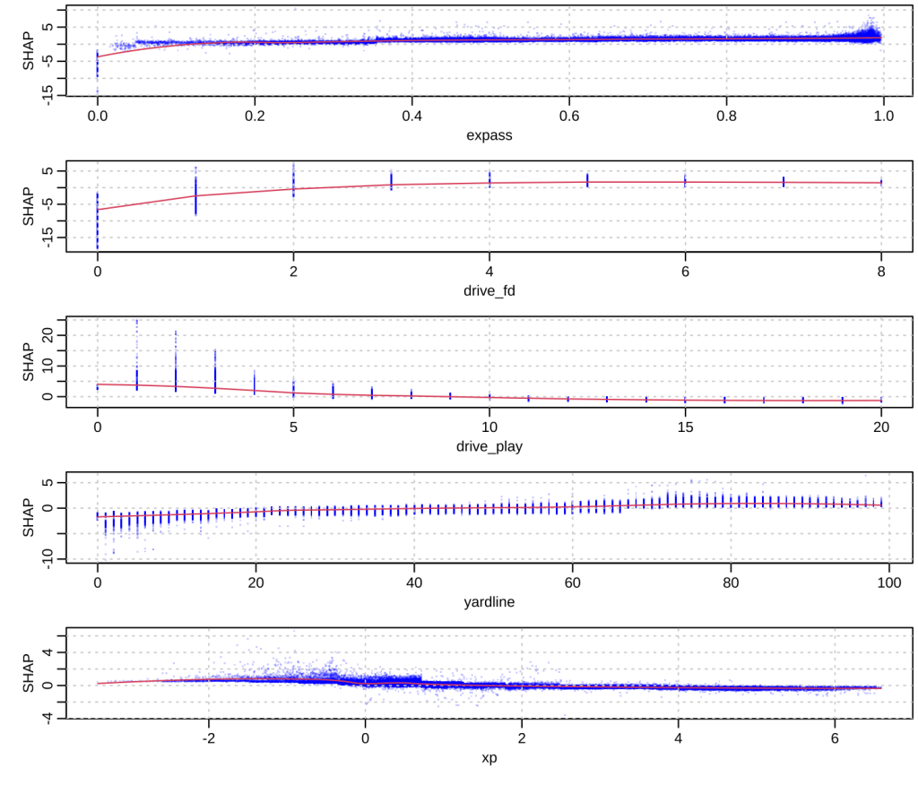
The below SHAP chart shows the top five most influential stats on the model, and how much each data value affected the results (SHAP score; lower means xyards decreased, higher means xyards increased). Expected pass percentage, current drive first downs, drive play number, yard line, and expected points are the most influential stats, respectively.

With an expected yards value for each play, we can calculate yards over expected (YOE) after the play occurs, which will not only help us evaluate how efficient teams and players are in normal play, but in fantasy football as well.
An example of this is shown below: The chart displays the Chiefs’ yards over expected per play through Week 9 of the 2021 season. We can see that they were about average (in between the weekly high and low) each week as they teetered around net 0 YOE/play.

2021 Team Trends
Now that we know what we’re dealing with, let’s take a look at each team’s weekly performance for total YOE from 2021. Keep in mind, the top black line is the max YOE recorded for the week and the bottom is the min. The gray area in between is where every other team falls.
The first set of graphics pertains to weekly total YOE for AFC offenses. Here are some key takeaways:
- The Ravens had a massive drop-off in YOE production as the year progressed, which we can reasonably say was due to their multitude of injuries
- The Broncos’ offense was surprisingly efficient…can’t wait to see how they perform with an upgrade at QB!
- The Chargers’ inconsistency cost them last season…can Herbert lead them to the playoffs this year?
- Don’t sleep on the Raiders offense! They rank 3rd in the league for total YOE!




Below is the YOE for NFC offenses. some key takeaways:
- The Eagles had a surprisingly effective offense, only barely dropping below 0 total yards over expected 3 times last season
- The Rams and Bucs are in a league of their own–both totaled over 600 YOE last season
- The Giants are bad. Very, very bad. Not much else to say there




Below you will find the YOE offensive rankings.

We can also determine the amount of yards allowed over expected (YAOE) by NFL defenses. Find these trends below.
First, let’s take a look at AFC defenses–be sure to note, that negative numbers are good, positive numbers are bad (negative means they allowed fewer yards than expected). Here are some key takeaways:
- The Bills were dominant last season on defense–only four games did they allow more yards than expected!
- The Raiders and Eagles are yet again two of the top teams, this time in YAOE. Is 2022 going to be their year?
- The Bengals finished the year strong, but will need to better their defense if they want to get back into the playoffs




Now let’s take a look at NFC YAOE–some key takeaways:
- The Lions’ defense was astronomically bad. Hopefully Michigan man Aidan Hutchinson will save the day and bring the defense some grit this season
- The Panthers’ defense excelled last season–can Baker Mayfield give them the offensive boost they need to get back into the playoffs?
- The Rams’ defense was wildly inconsistent and ultimately average–fortunately they were able to up their level of play in the postseason!




Below you will find the YAOE defensive rankings–the spread is pretty astounding (around 550 yards)

Lastly, let’s take a look at how NFL offenses and defenses performed with the run vs. pass game.
First, we will look at offensive YOE for passes and rushes. Only seven teams were above average in both the run and pass game, and just five of those teams made the playoffs (Vikings, Broncos missed)! None of the teams who excelled in the run game but suffered in the passing game made the playoffs–the same goes for the other way around (discounting the Steelers). This goes to show the importance of having a balanced offense!

Now let’s take a look at defensive YAOE for the run vs. pass game. Only four teams outperformed the average for YAOE in both the run and pass game–One of these teams made the playoffs. This is an interesting insight and might hint toward the greater importance of having an efficient offense than defense–I might just have to look into this further for a future article!

That’s all for this article! As always, feel free to reach out to me on Twitter with any questions @analytacist!
